
全国大学生数学竞赛 第一届决赛试题 数学类 哔哩哔哩
深入理解java 中的final 关键字 Segmentfault 思否
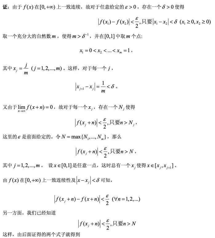
哆嗒数学网 博客

官方办的s11总决赛上海线下观赛 虎扑
厕所怎样偷拍视频 你懂的 必踢决赛也爆棚一代200万元2 原笼牛肉网
带分析丨让饭圈女孩瑟瑟发抖不敢招惹的电竞圈到底有多恐怖 电竞主播网

说说你们看过最沙雕的车贴 2019年5月4日虎扑存档 看帖神器
小学生作文写 撒野 老师全部判零分 耽美小说价值观不正确 教育资讯 游戏新闻

论文浅尝 Complex Embeddings For Simple Link Prediction 开放知识图谱 Csdn博客
上海交通大学2021级本科生开学典礼及新生第一课全景回顾 干部培训网

刚刚看到那个0 9等 于1的帖子 被高亮气的不行 2019年9月5日虎扑存档 看帖神器
Tags:
Archive